Finance

Best Finance Tutors for Portfolio Management
Finance and Mortgage Broking Management
How to Get Finance Homework Help For MBA Students
Corporate Finance Help for Students
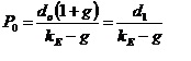
Formulas for Finance and Accounts
WACC, Cost of capital, wacc assignment help, wacc homework help, finance homework help
finance assignment help, financial managment, cost of capital, debt capital, equity capital
Understanding Debt Capital and Eurobonds
Sources of Investment Finance